Sprache
Asturianu (ast)
Català (ca)
Čeština (cs)
Dansk (da)
Deutsch (de)
English [US] (en-US)
Español (es)
Esperanto (eo)
Eesti keel (et)
Euskara (eu)
Français (fr)
Gàidhlig (gd)
Galego (gl)
Italiano (it)
Lietuvių (lt)
Magyar (hu)
Nederlands (nl)
Norsk (no)
Polski (pl)
Português [do Brasil] (pt-BR)
Português [Europeu] (pt)
Română (ro)
Slovenčina (sk)
Slovenščina (sl)
Suomi (fi)
Svenska (sv)
Yкраїнська (uk)
Tiếng Việt (vi)
Türkçe (tr)
ኦሮሚኛ (om)
Հայերեն (hy)
Ελληνικά (el)
български език (bg)
Русский (ru)
Cрпски [ћирилицом] (sr)
עברית (he)
हिन्दी (hi)
ភាសាខ្មែរ (km)
தமிழ் (ta)
ภาษาไทย (th)
简体中文 (zh-CN)
正體中文 (zh-TW)
日本語 (ja)
한국어 (ko)
Die freie und offene Büro-Software
OpenOffice.org Formel
06 - spezielle Operatoren
Die folgenden Beispiele sollen zeigen, wie man das Integralzeichen,
das Summationszeichen und das Produktzeichen verwenden kann.
Kommando-Eingabefeld
Formel
int from {0}
to {infinity } {x^2 over 3}="?"
sgn(%sigma)
cdot sum from {%sigma in %PHI} {1 over {1-aleph_%sigma^2}}
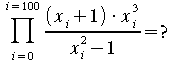
prod from
{i=0} to {i=100} {{(x_i+1) cdot x_i^3} over {x_i^2-1}}="?"
© Copyright 2003, Harald Schilly
This documentation is part of "Erste Schritte: OpenOffice.org Textdokument", which is released
under the terms of the PDL.
For full copyright and license info read the index page .